יבול שיא
הרפת והחלב
shutterstock 2518972819

ממשק גידול חדש "שורותיים קצר מועד"

7 דק' קריאה

שיתוף:

אורטל בחשיאן – מדריך גידול בננות וסובטרופיים, אגף ענפי הצומח, שה"מ נבות גלפז – מו"פ צפון, גלאור –מדריך בננות, שה"מ

תקציר

שני הגורמים העיקריים המגבילים את רווחיות ענף הבננות בישראל הם תופעת "עייפות הקרקע" ועלויות כוח האדם.

"עייפות הקרקע" מתבטאת בירידה הדרגתית ביבולים במשך השנים, המובילה לירידה מתמשכת ברווחיות.

"שורותיים קצר מועד" הוא ממשק נטיעה חדש שמטרתו לשפר את רווחיות הגידול בעיקר דרך ייעול השימוש ב"משאב הקרקע" וצמצום הוצאות עבודה. בסיס הממשק הוא שבכל מחזור רק חצי מהשורות ניטעות (למשל, השורות האי-זוגיות), והמחצית השנייה "נחה" (השורות הזוגיות). השורות ניטעות במבנה של שתי שורות, שורה מכל צד של כבל התמיכה, כך שמספר הצמחים לכבל כפול ביחס לכבל בממשק הגידול המקובל, אך עומד הצמחים בחלקה כולה זהה לעומד המשקי. בתום מחזור הגידול הראשון (הערכה של 4-3 שנים, כאשר מתחילה הירידה ביבול) נעקרות השורות הקיימות וניטעות השורות ש"נחו," גם הן במבנה של שורותיים, וכך חוזר חלילה. הנחת העבודה היא שבאמצעות ממשק זה פוריות הקרקע לא תידרדר לאורך שנות הגידול, וניתן יהיה לגדל מספר רב של מחזורי גידול.

מטרת עבודה זו היא לבחון מהי צפיפות הנטיעה  ( ,250 270 285, צמחים לדונם) המתאימה ביותר לממשק החדש. מתוצאות שנה א' עולה שבכל הפרמטרים שנבדקו, למעט גובה הצמח, אין הבדלים מובהקים בין צפיפויות הנטיעה השונות. אולם, חשוב לציין שישנה עלייה באחוז הפחת, ככל שעולה צפיפות הנטיעה, עד כדי מספר נמוך יותר של אשכולות קטופים בצפיפות הנטיעה הגבוהה מאשר בצפיפות הנמוכה (לא מובהק ( ,  מכך ניתן להסיק כבר כעת שהצפיפות הגבוהה אינה מתאימה לממשק זה וניתן לוותר עליה ממחזור הצמחים הבא.

מבוא ותיאור הבעיה

שני הגורמים העיקריים המגבילים את רווחיות ענף הבננות בישראל הם תופעת "עייפות הקרקע" ועלויות כוח האדם. "עייפות הקרקע" מתבטאת בירידה הדרגתית ביבולים במשך השנים, המובילה לירידה מתמשכת ברווחיות. כאשר היבול יורד מתחת לסף הכדאיות הכלכלית 6-5 )  טון/דונם, כתלות במחיר הפרי ובאזור הגידול, (  בדרך כלל כ10-8- שנים באזור עמק הירדן, החלקה נעקרת. גידול הבננות בארץ הוא עתיר ידיים עובדות, ומיכון כמעט שאינו קיים. עלות העבודה השנתית היא כמחצית או יותר מסך כל ההוצאות בגידול, והיא נאמדת ב- 5,000-4,500 ₪ לדונם (כ- 14-12 ימי עבודה לדונם.(

"שורותיים קצר מועד" הוא ממשק נטיעה חדש, שמטרתו לשפר את רווחיות הגידול בעיקר באמצעות ייעול השימוש ב "משאב הקרקע" וצמצום הוצאות עבודה. בסיס הממשק הוא שבכל מחזור רק חצי מהשורות נשתלות (למשל, השורות האי-זוגיות,( והחצי השני "נח" (השורות הזוגיות.( השורות ניטעות במבנה של שתי שורות, שורה מכל צד של כבל התמיכה, כך שמספר הצמחים לכבל כפול ביחס לכבל בממשק הגידול המקובל, אך עומד הצמחים בחלקה כולה זהה לעומד המשקי. בתום מחזור הגידול (לפי הערכה, 4-3 שנים,( השורות האי-זוגיות נעקרות, והשורות הזוגיות ש"נחו" נשתלות גם הן במבנה של שורותיים, וכך חוזר חלילה. אנו מקווים שבאמצעות ממשק זה לא תידרדר פוריות הקרקע בחלקה במהלך שנות הגידול, וניתן יהיה לגדל בה מספר רב של מחזורי גידול במשך שנים ארוכות.

יתרונותיו הבולטים של הממשק הם:  1) יבול גבוה, יציב ואיכותי למשך שנים ארוכות – למעשה, בשנותיו הראשונות של המטע נמצא היבול בשיאו, הן מבחינת הכמות והן מבחינת האיכות; 2) צמצום שטחי המחזור – כיום כ- 30% משטחי הבננות משמשים למחזור גידולים 4-3 )  שנות מנוחה בין מחזור בננות אחד למשנהו,( לרוב עם גידולי שדה שבהם הרווחיות נמוכה יותר; 3) חיסכון בפירוק ובהקמה מחדש של בית הרשת מדי מספר שנים – בממשק זה בית הרשת נשאר לשנים ארוכות, אך המטע מתחדש מדי שנים אחדות; 4) חיסכון בכוח אדם – במטע צעיר הספק עבודות המטע (תמיכה, עטיפה, חיתוך עלים וכו(' גדול יותר בהשוואה למטע ותיק, ולכן עלויות כוח האדם, שהן ההוצאה העיקרית בענף, נמוכות יותר.

בנוסף לכל היתרונות שלעיל, אנו מאמינים כי המרווח הכפול, הנוצר בין זוגות של שורותיים, טומן בחובו פוטנציאל עתידי להתייעלות הענף, כדוגמת מיכון, שילוב גידולים (Intercropping ) ועוד.

שיטות וחומרים

עקרונות הממשק "שורותיים קצר מועד"

.1  שימוש בבית הרשת הקיים, ללא ביצוע כל התאמה.

.2 במחזור השתילה הראשון, המתבצע באביב, רק מחצית מהשורות נשתלות (השורות האי-זוגיות,( ובחצי השני של השורות (הזוגיות) מגודלים צמחים משפרי פוריות קרקע.

.3 השורות ניטעות במבנה של שורותיים, משני צדי כבל התמיכה, כך שמספר הצמחים כפול ביחס לשורה בממשק הגידול המקובל, והעומד בחלקה כולה זהה לעומד המשקי.

.4 בתום מחזור הגידול (לפי הערכה, 4-3 שנים,( השורות האי-זוגיות נעקרות, והשורות הזוגיות ש"נחו" נשתלות גם הן במבנה של שורותיים. בשורות האי-זוגיות שנעקרו מגדלים צמחים משפרי פוריות קרקע. העקירה והשתילה מתבצעות במהלך האביב, למניעת נזקי הצללה של השורות הוותיקות על השורות הצעירות.

.5 באמצעות ממשק הגידול הנבחן אנו מקווים שניתן יהיה לגדל מספר רב של מחזורי גידול במשך שנים ארוכות, כשבכל מחזור גידול נתון רק חצי מהשורות שתולות, והחצי השני "נח," כך שפוריות הקרקע בחלקה לא צפויה להידרדר במהלך שנות הגידול.

Picture1
איור .1 הממשק החדש "שורותיים קצר מועד," בהשוואה לממשק הרגיל

מימין: צורת הנטיעה הנפוצה בעמק הירדן – ארבעה מטרים בין השורות, שלושה מטרים בין הבתים ושלושה צמחים בבית (סה"כ 250 צמחים לדונם;( משמאל: צורת הנטיעה הניסיונית "שורותיים קצר מועד" – בנטיעה נשתלות רק השורות האי- זוגיות, מתחת לכל כבל יש שתי שורות 1)  מטר מכל צד של הכבל,( המרחק בין הבתים 2 מטרים, ובכל בית זוג צמחים (סה"כ 250 צמחים לדונם, בצפיפות הזהה לנטיעה המשקית;( כעבור 4-3 שנים מתחלפות השורות, ניטעות השורות הזוגיות (באדום) ומחוסלות השורות האי-זוגיות וכך חוזר חלילה, ללא חיסול בית הרשת.

פרטי החלקה והצבת הניסוי

זן: גרנד-ניין

מועד נטיעה: אוגוסט 2022

משק/חלקה: דגניה ב' חלקת ספן – 60 דונם רשת: פנינה ,30% כיוון שורות מזרח-מערב טיפולים: שלושה עומדים שונים (צפיפות נטיעה)

(1 שורותיים – 285 צמחים לדונם, זוג צמחים בבית, 1.75 מטר בין בתים       2 ) שורותיים – 270 צמחים לדונם, זוג צמחים בבית, 1.85 מטר בין בתים     (3 שורותיים – 250 צמחים לדונם, זוג צמחים בבית, 2 מטרים בין בתים.

*המרווח בין השורות בתוך השורותיים הוא 2 מטרים (מטר אחד מכל צד של הכבל.(

מבנה הניסוי

אקראיות גמורה (ראה מפת שתילה, איור .( 2

החלקה מחולקת ל- 12 חצרות (חצר = חזרה.( בכל טיפול ארבע חזרות. בכל חזרה נמדדים 32 צמחים, בסך הכול 128 צמחים בכל טיפול.

22
איור .2 מפת שתילה

מפת שתילה – חלקה מסחרית בדגניה ב,' הכוללת 12 חצרות (חצר = חזרה) בארבע חזרות לכל טיפול, ונמדדים 32 צמחים בכל חזרה (בשורותיים האמצעיות).

תוצאות

תמונה .1 מבנה השורותיים

image
תמונה .1מבנה השורותיים – כל שורה נשתלת מטר אחד מכל צד של כבל התמיכה (הכבל מחובר לעמוד שבמרכז התמונה)בכל בית לאורך השורה נשתלים שני צמחים, והמרחק בין הבתים קובע את צפיפות הנטיעה – לדוגמה, כאשר המרחק בין הבתים הוא שני מטרים – צפיפות הנטיעה היא 250 צמחים לדונם

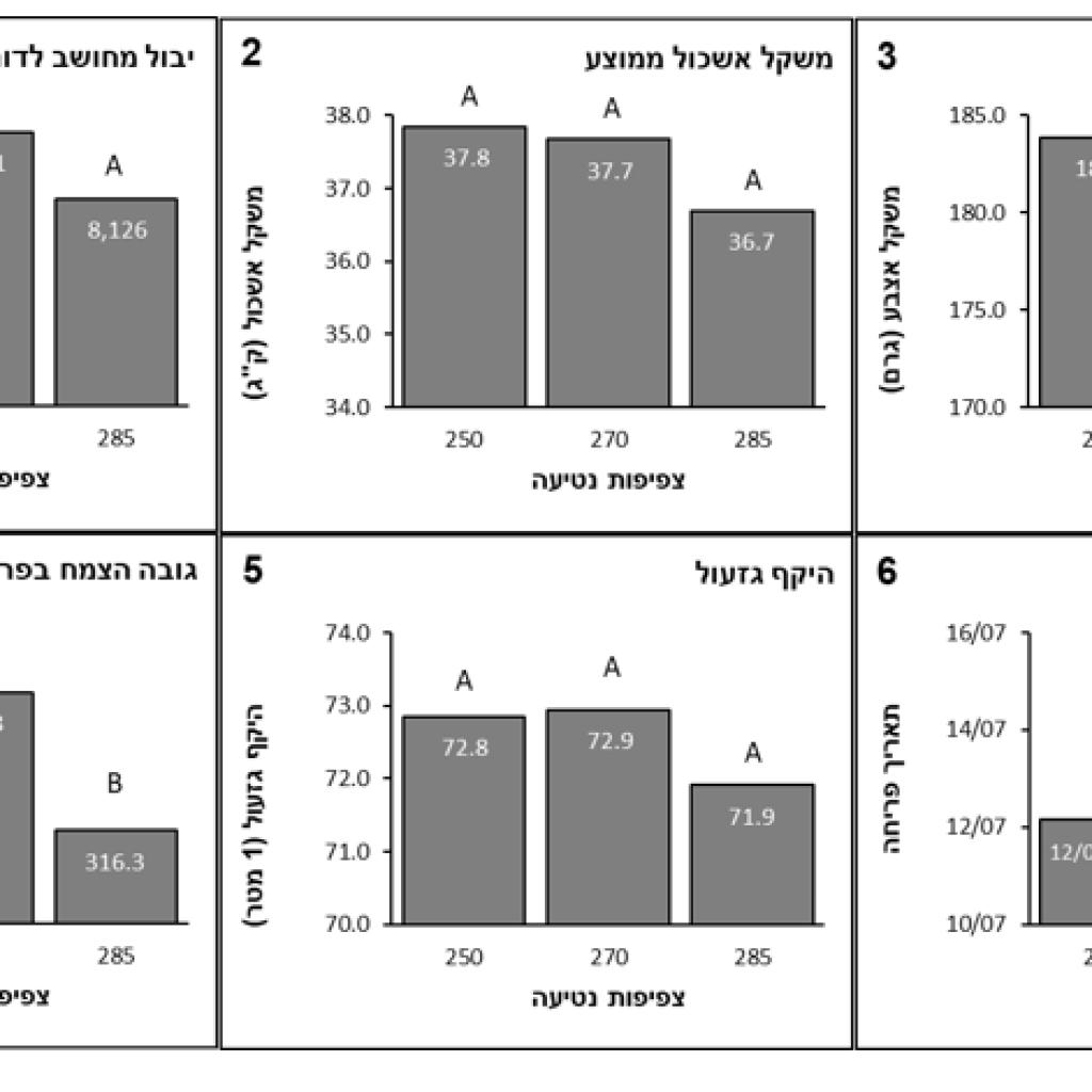
בכל הפרמטרים שנבדקו, למעט גובה הצמח, אין הבדלים מובהקים בין צפיפויות הנטיעה השונות.

יבול מחושב לדונם – קיים הבדל של כמעט 700 ק"ג לטובת צפיפות הביניים על פני הצפיפות הגבוהה, אך ללאמובהקות סטטיסטית.

משקל אשכול ממוצע – ישנה נחיתות מסוימת לצפיפות הגבוהה, אך זהו הבדל זניח.

משקל אצבע ממוצע – כאן ההבדל משמעותי יותר (לא סטטיסטי) לטובת הצפיפות הנמוכה.

חשוב להדגיש כי בבננות קיימת שונות טבעית באורך האצבע ובמשקל האשכול, כתלות במועד הפריחה. משום שהתוצאות מכילות מספר מועדי פריחה, ישנה שונות רבה המקשה על קבלת מובהקות סטטיסטית.

גובה הצמח – ישנה ירידה מובהקת בצפיפות הגבוהה.

היקף גזעול – ירידה בצפיפות הגבוהה ללא מובהקות סטטיסטית. תאריך פריחה – איחור קל בצפיפות הגבוהה, שוב ללא מובהקות.

גרפים 1 עד 6 – מדדי צימוח ויבול לפי צפיפות הנטיעה

צילום מסך 2026 01 20 213245
גרפים .6-1

גרפים .6-1 מדדים מרכזיים של צימוח ויבול לפי צפיפות הנטיעה: גרפים 3-1 – מדדי יבול: (1 יבול מחושב לדונם; (2 משקל אשכול ממוצע; 3) משקל אצבע ממוצע; גרפים 6-4 – מדדי צימוח: (4 גובה הצמח בפריחה; 5) היקף הגזעול; 6) תאריך פריחה ממוצע; ניתן לראות שבכל הפרמטרים שנבדקו, למעט גובה הצמח, אין הבדלים מובהקים בין צפיפויות הנטיעה השונות; אותיות שונות מייצגות הבדל מובהק לפי מבחן HSD Tukey

נתון נוסף בעל השפעה מרכזית על היבול הכללי הוא מספר האשכולות הקטופים לדונם. אמנם בניסוי זה מספר הצמחים שונה כבר מהנטיעה (הטיפולים בניסוי,) אך מסיבות שיפורטו בהמשך לא כל הצמחים שפרחו מניבים אשכול מסחרי. פער זה בין האשכולות הקטופים למספר הפריחות נקרא "אחוז הפחת." ניתן לראות בגרף 7 שככל שעולה צפיפות הנטיעה – כך גדל גם אחוז הפחת עד כדי מספר נמוך יותר של אשכולות קטופים בצפיפות הנטיעה הגבוהה לעומת הצפיפות הנמוכה.

צילום מסך 2026 01 20 213414
גרף .7מספר האשכולות הקטופים לדונם – נתון זה מהווה למעשה את אחוז האשכולות שפרחו אך לא נקטפו " ) אחוז פחת" -מספרים באדום) ניתן לראות שככל שצפיפות הנטיעה עולה, כך גם עולה אחוז הפחת, ולנתון זה השפעה מרכזית על היבול. להפתעתנו, ישנם פחות אשכולות קטופים בצפיפות הנטיעה הגבוהה מאשר בצפיפות הנמוכה.

דיון

כמות היבול נקבעת על ידי מכפלתם של שני מרכיבים: מספר האשכולות הקטופים ומשקלם. משקל האשכול תלוי במידה רבה במועד הפריחה (בארץ ישנן עונות שנה, להבדיל מהאזור הטרופי), ובמידה פחותה יותר בצפיפות הצמחים (מספר הצמחים לדונם) ובגיל המטע. לעומת זאת, מספר האשכולות הקטופים נמצא ביחס ישר לצפיפות הצמחים וביחס הפוך לגיל המטע (נספחים, גרפים .( 8-10 ניתן גם לראות בגרפים אלו ירידה הדרגתית ביבול עם ההתרחקות ממועד הנטיעה. ישנה גם פחיתה הדרגתית במספר החלקות. נתון זה מרמז (אם כי לא תמיד) על ירידה מסף הרווחיות הכלכלית של החזקת החלקה. תופעה זו של הידרדרות בפוריות הקרקע, בהיעדר מציאתו של הגורם המדויק, נקראת "עייפות הקרקע."

הרעיון שבבסיס הממשק החדש (שורותיים קצר מועד) הוא להימנע מתופעה זו. בכל מחזור גידול רק חצי מהשורות ניטעות (אולם עומד הצמחים בחלקה כולה זהה לעומד המשקי.( בתום המחזור (לפי ההערכה, 4-3 שנים, כאשר מתחילה הירידה ביבול) נעקרות השורות הקיימות וניטעות השורות ש"נחו," גם הן במבנה של שורותיים, וכך חוזר חלילה. הנחת העבודה היא שבאמצעות ממשק זה לא תידרדר פוריות הקרקע במשך שנות הגידול, וניתן יהיה לגדל מספר רב של מחזורי גידול (השורות מתחלפות מדי מספר שנים, ואילו המטע רב-שנתי.(

אמנם סביר בהחלט לשער שמספר האשכולות הקטופים עולה, ככל שצפיפות הנטיעה גדולה יותר, אך כמובן שישנו גבול מסוים שמעליו יש ירידה ביבול. בצפיפות גבוהה מדי, כמות הקרינה בלתי מספקת וגורמת לעיכוב בהתפתחות הנצרים, לאיחור בפריחה (לעתים קרינה מעטה אפילו גורמת לעלייה בגובה הצמחים) ולעיכוב במילוי האשכול. סיבה נוספת לירידה ביבול היא עלייה באחוז הפחת. ככל שהצמחים צפופים יותר וגבוהים יותר, כך עולים המקרים של אשכולות "שנשענים" על צמחים אחרים או על כבלי התמיכה. פגיעה זו בפרי מורידה את איכותו, לעתים עד כדי חוסר יכולת לשווקו (פחת).

מטרת עבודה זו הייתה לבחון מהי צפיפות הנטיעה (בכמויות של ,250 270 ו285- צמחים לדונם) המתאימה ביותר לממשק החדש. חשוב לזכור כי בממשק השורותיים מספר הצמחים לדונם אמנם זהה למספרם בממשק המשקי, אולם צפיפותם כפולה (בשורותיים מגדלים רק על מחצית מהשורות). ואכן נראה כי בשלוש הצפיפויות השונות ישנם סימנים של מחסור באור. הצמחים עלו לגובה רב ואיחרו לפרוח (לא הייתה ביקורת משקית בניסוי, אך האיחור הוא בהשוואה לנטיעות אחרות בעמק.( מבין הטיפולים ניתן לומר שככל שעולה צפיפות הנטיעה – כך גדל גם אחוז הפחת, עד כדי מספר נמוך יותר של אשכולות קטופים בצפיפות הנטיעה הגבוהה מאשר בצפיפות הנמוכה.

ייתכן בהחלט שהשילוב של רשת פנינה 30% עם כיוון שורות מזרח-מערב אינו מתאים לממשק זה והחריף את השפעת הצפיפות (השורה הצפונית מבין שתי השורות שבשורתיים פרחה באיחור משמעותי ובגובה רב יותר בהשוואה לשורה הדרומית).

לסיכום, זוהי שנת יבול ראשונה של ניסוי ארוך טווח (בתקווה.( ניתן לומר כבר כעת שהצפיפות הגבוהה אינה מתאימה לממשק זה, ואפשר לוותר עליה במחזור הצמחים הבא. היבול המסחרי בכל החלקה עמד על 8.6 טונות לדונם (ע"פ נתוני המשק.( זוהי כמות בינונית מינוס ליבול קיץ שנה א' בעמק הירדן. לקראת העונה הבאה יש לשים דגש על הורדת עלים וסידור האשכולות בזמן עבודת התמיכה (להפחית את הפחת).

תודות

לקרן מחקרי שה"מ – על מימון המחקר; לד"ר נבות גלפז ממו"פ צפון; לגל אור (שה"מ); לצוות חוות המחקר בצמח: אבי צרפתי, גלעד הדר וירדן לב.

תודה גדולה לגיא גלעד ולאור זנתי, מנהלי מטעי דגניה ב;' למשה נבון ולבית אריזה "צמח."

כתיבת תגובה

האימייל לא יוצג באתר. שדות החובה מסומנים *

"ההחלטה על תקצוב שיקום למנרה ולניר עוז התקבלה כסמל, וזה מהלך סופר־דרמטי ומשמעותי", אומר יו"ר קק"ל אייל אוסטרינסקי בראיון ל"זמן קיבוץ". למה לא יתמוך בהתנחלויות, ומה יעלה בגורל התמיכות בהתיישבות העובדת בעוד שנתיים, כאשר
6 דק' קריאה
בגן שמואל לא מוותרים על המסורת המפוארת של חגיגות הביכורים, שראשיתה עוד לפני קום המדינה. עשרות חברות וחברים, מקטן ועד גדול, לוקחים חלק בחגיגה המרהיבה, כשהחזרות מתחילות כבר כחודש לפני האירוע *תמונה ראשית: חג
5 דק' קריאה
המורה לציור שידע לבקר בעדינות עבודות מבלי להביך תלמידים ומבלי לבייש אותם, ביקש להבין ב"נאום הקמעות" איך קומץ של אנשים הזויים הפך לרוב ששולט בנו. געגועים ליאיר גרבוז *תמונה ראשית: גרבוז ב"נאום הקמעות". "הגנבים ולוקחי השוחד
3 דק' קריאה
*צילום תמונה ראשית: אגף תקשורת ודוברות, התנועה הקיבוצית  בית התנועה הקיבוצית החדש קורם עור וגידים, הולך ונבנה — ובקרוב כבר עוברים. הבית ישמש את כל אגפי ומחלקות התנועה, התאגידים הכלכליים והגופים הקשורים אליה. הוא יהיה
< 1 דק' קריאה
תוכנית "שבילים", תוכנית המנהיגות החדשה של מחלקת הצעירים של התנועה הקיבוצית בשיתוף המועצות האזוריות, יצאה השבוע לפועל במועצה האזורית הראשונה שלה – מ.א. מגידו. מדובר בתוכנית יוקרתית הנמשכת 13 שבועות, במטרה לייצר דור מנהיגים חדש בשלטון האזורי
< 1 דק' קריאה
יום עיון של רכזי ורכזות חיילים בודדים, המארחים מאות חיילים ב־60 קיבוצים, התקיים בהובלת אגף המשימות של התנועה הקיבוצית. הרכזים נפגשו עם נציגי צה״ל, ערכו מעגלי שיח וסימנו את יעדי התוכנית הבאים. סגן יו״ר

הרשמו לניוזלטר

השאירו את הפרטים והישארו מעודכנים!